Practice Problems in Pericyclic Reactions.
The following are a set of practice problems in Pericyclic Mechanisms,
prepared by Henry Rzepa for the for a second year course in Pericyclic Reactions at the
Department of Chemistry, Imperial College.
Each of these problems is intended to take between 1-3 hours to solve.
They are NOT typical of examination questions! Please note also that the compound numbers are not consecutive between questions.
Qu 21. When compound 1 is treated with base and heated, it rearranges to give the products shown. The 13C isotope is distributed unequally between two products. Explain this result in mechanistic terms, and clearly indicate the type of reactions occurring and their nomenclature.

Answer
Qu. 22. Propose a mechanism for the following transformation.

Answer
Qu. 23. Shown below are stages in the total syntheses of two interesting molecules. Describe the type of reaction occuring at each stage, including details of nomenclature and the number of electrons involved. Suggest structures for the intermediates A, B and C, and propose mechanisms for each stage.

Answer
Qu. 24. The molecule below when heated gives rise to varying amounts of the products D-H. Propose mechanisms to account for the formation of each product. Some of these reactions will be pericyclic reactions, some (such as the aromatising loss of hydrogen) will include steps that are not. Indicate clearly which are the pericyclic steps.

Answer
Qu. 25. Xestoquinone is a marine natural product, part of the synthesis of which is shown below. A and B in the presence of a suitable oxidant, give racemic C (only one enantiomer shown). Mild heating gives an intermediate X, which has the 1H NMR spectrum shown below. Reflux at a higher temperature induces X to rearrange to a compound Z, a precursor to Xestoquinone. Suggest a structure for X compatible with the spectrum, and mechanisms for its formation and conversion. Pay particular regard to the stereochemical centres shown.


Optional for tutorials: Using a suitable molecular modelling technique (CAChe, Chem3D, MacroModel), try to identify whether Z is more or less stable than your proposed structure for X. Several other regio and stereo isomers for X and Z might suggest themselves from your proposed mechanisms. Are they higher or lower in energy?
Answer
Qu. 26. Treatment of di-isopropyl squarate ( K) with two mol equivalents of lithio cyclopentene in THF results in the intermediate L. This is presumed to rapidly rearrange via the intermediate M to the lithio-dianion N. Semi-quenching of this dianion to a lithio-monoanion results in isolation of the predominant final product O (along with the enantiomer), the relative stereochemistry being that shown, and the overall reaction being remarkable for the five contiguous stereochemical centres formed from the achiral precursors.

Given that L => M => N are pericyclic steps, and that N => O is not, deduce possible structures for M and N and mechanisms for their formation. Using what you know about these mechanisms, comment on the expected relative stereochemistry of any chiral centres in N, and speculate upon the relative stereochemistry of any further chiral centres formed in O.
Working back from the structure of M, deduce what the relative stereochemistry of the chiral centre shown with a wavy line in L might be. Speculate why this relative stereochemistry might be favoured in the reaction of K with lithiocyclopentene
Answer
Qu. 27. A key step in the synthesis of the natural product Lycopodine is shown below. Suggest a mechanism for this reaction, indicate clearly whether each step in the mechanism is a pericyclic or non-pericyclic process, and classify each pericyclic process according to its type.

Answer
Qu. 28. In the sequence shown below, treatment of the reactant with sodium thiophenoxide (a base and also a thiophile) produces two transient isomers X and Y prior to the final product Z. The product Z has the following spectral characteristics. nmax 3610 cm -1, 1H nmr d 2.0 (1H, broad s), 2.26 (3H, s), 2.8 (1H, m, J 13.6, 7.8Hz), 2.9 (1H, J 13.6, 5.8),4.40 (1H, J 7.8, 7.0, 5.8 Hz), 5.5 (1H, J 15.6, 7.0), 6.33 (1H, J 15.6), 7.4-7.6 (5H, m). Suggest a structure for Z, and a mechanism for its formation. Indicate clearly whether each step in the mechanism is a pericyclic or non-pericyclic process, and classify each pericyclic process according to its type. Pay particular attention to the stereochemistry of Z

Answer
Qu. 29. The 1H NMR spectrum of the compound shown below has some very peculiar properties. At -50C, four peaks are observed at d 5.73 and 6.25 (assigned to the olefinic protons) and at 6.95 and 7.04 (assigned to the aromatic protons). As the temperature is increased to about 20C, the two peaks due to the olefinic protons coalesce to a single peak, as do the two aromatic peaks. Further heating to 120C results in each now single olefinic and aromatic peak further coalescing to a single peak, as do the two singlets due to the Bu t groups. On cooling, this behaviour is entirely reversible. Suggest pericyclic mechanisms to explain the behaviour observed at both 20C and 120C.

Answer
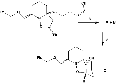
Qu. 30. Part of the synthesis of the natural product Histrionicotoxin involves the following transformation, involving intermediate A and product B. A undergoes further thermal conversion to give a precursor of Histrionicotoxin C. Suggest structures for A and B, and mechanisms for the reactions involved. Comment on any possible regio-isomers that might also be possible for C and indicate the expected stereochemistry of the bond to the cyano group (shown with a wiggly line in the diagram below).

Answer
© Henry S. Rzepa, 1978-2014. Hide|show Toolbar.