
![]()
Properties
|
|
Allopurinol (C5H4N4O) is used to treat hyperuricaemia associated with a variety of conditions including chronic gout. Common adverse effects include skin rashes and hypersensitivity reactions; acute attacks of gout may initially be precipitated.
General Properties. A white or off-white, almost odourless powder. The melting point is above 350ƒC. The molecular weight is 136.11. C 44.12%, H 2.96%, N 41.16%, O111.75%. It is a tautomeric mixture of 1H-pyrazolo[3,4-d] pyrimidin-4-ol and 1,5-dihydro-4H-pyrazolo[3,4-d] pyrimidin-4-one. Very slightly soluble in water and alcohol; practically insoluble in chloroform and in ether; dissolves in dilute solutions of alkali hydroxides. Other proprietary names are Adenock; Aloral; Alositol; Allo-Puren; Allozym; Allural; Anoprolin; Anzief; Apulonga; Apurol; Apurin; Bleminol; Bloxanth; Caplenal; Cellidrin; Cosuric; Dabroson; Embarin; Epidropal; Foligan; Geapur; Gichtex; Hamarin; Hexanurat; Ketanrift; Ketobun-A; Ledopur; Lopurin; Lysuron; Miniplanor; Monarch; Nektrohan; Remid; Riball; Sigapurol; Suspendol; Takanarumin; Urbol; Uricemil; Uripurinol; Urobenyl; Urosin; Urtias; Xanturat; Zyloprim; Zyloric.
Tautomerism
in the Allopurinol Series. The
lmax of (1) is identical with the value for the 5-methyl
(4) and the
1,5-dimethyl (6) derivatives. The
UV absorption spectra of allopurinols is shown in Table 1
below:
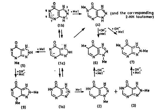
Letter a,n and c refer respectively to the neutral molecule, the anion, and the cation. Thus it might be supposed that in aqueous solution (1) is present in its 1,5-di-NH form. However, introduction of an NMe group generally shift lmax by a few nm to longer wavelengths, as in the pair (1)/(6) and (3)/(7). Therefore (1) should absorb at a shorter wavelength than e.g. (2). In fact its absorption maximum is found between those of (2) and (3), indicating that (1) is a mixture of the 1,5- and 2,5-di-NH tautomers. By similar reasoning, 5-methylallopurinol (4) is present in aqueous solution as a mixture of 1- and 2-NH tautomers. The 13C n.m.r. spectrum of allopurinol supports the presence of both tautomers in solution. The NMR spectra of allopurinols are shown in Table 2 below:
Cation
Formation in Allopurinols.
The allopurinols are divided into two classes (as in Table
1). All 7-methyl
derivatives have pK values above +3, which all others show pK values between +0.4
and ñ1.8. Attachment of a
proton to the pyrazole ring causes only small downfield shifts of the
3-H signals (see Table 2, compounds (1),(2) and
(6).)
Theoretical Calculations. Energies and dipole moments are shown in Table 6 below:
The possible tautomers of
each compound are arranged in order of decreasing stability.
It can be observed that (a)
The most stable form of allopurinol is the 1,5-di-NH tautomer and
the least stable one the 1,2-di-Nh tautomer.
Likewise in compounds (2) and (3) and all the dimethyl
derivatives, the 1,2-disubstituted form is always the least stable, and
1,2-dimethylallopurinol is still unknown. Furthermore, the spectral data for 2-NH and 2-NMe derivatives
indicate that whenever protonation occurs at position 1, the 7-Nh
tautomer is also formed. Alkylation
of 2,5-dimethylallopurinol (7) takes place at N-7 and not at N-1, to
yield compound (11). (b)
The 2-NH form of 5-methylallopurinol (4) is more stable than the
1-NH tautomer. However, the
anion of (4) is attacked by methylating agents to about the same degree
at N-1 and N-2 (see scheme 1) (c)
For 7-methylallopurinol (5), the 2-NH tautomer is considerably
more stable than 1-NH form, in accordance with the spectral and chemical
properties of this compound. (d)
The calculated dipole moments roughly follow the order of
energies, the least stable form having the highest dipole moment4.
Structural proof was provided by 13C and 1H NMR spectra (Table I). The monomethyl isomers 5 and 6 are stable in alkaline medium, which is contrast to the N-1 / N-5 or the N-2 / N-5 dimethylated allopurinol which suffer ring opening of the pyrimidine moiety. These findings can be explained by the fact that - in contrast to the dimethylated allopurinols - 5 and 6 can form inert anions in alkaline medium. For an unequivocal structural proof, the proton-coupled 13C NMR spectrum of 7b was measured (Table II). A positive indicator of N-1 alkylation is the fine splitting of the C-7a signal. This carbon shows three 3J(CH) couplings: 1,3J(C-7a / H-6) =12.4 Hz; 2,3J(C-7a / H-3) = 3.7 Hz; 3,3J(C-7a / CH2N) = 1.6 Hz. the complex pattern of the C-7a signal appears as a double pseudoquintet since two signals coinincide because of the incomplete resolution (0.5 Hz). Furthermore, the coupling pattern of C-3, C-3a and C-6 (Table II) reveal N-1 alkylation5.
|
|
|