In the 1950's the American Cancer Institute initiated a widespread screening program of substances and extracts from various origins in the hope that they would find antineoplastic agents. Over 110 000 extracts from plant species were tested over a 21 year period ( 1960-1981), and there findings showed that an extract from the bark of the pacific yew, Taxus brevifolia was the most promising antineoplastic agent.
The pacific yew tree, Taxus brevifolia, is a slow growing dioecious evergreen tree / shrub. The genus Taxus is distributed mainly over the temperate zones of the northern hemisphere. Ecologists have isolated 10 different species of Taxus and the most widespread species are as follows:-

The yew is also known as the "tree of death". The name Taxus comes from the Greek 'toxin', which translate to poison or toxin. It's poisonous nature has been mentioned in many cultures. Here are the few examples:-
The European yew tree is almost extinct mainly because of it's use as a military weapon. It was used to make long bows and historians have attributed the success of the English in the Hundred Year's War to this weapon. Hence the yew was extensively lumbered and if not for the invention of firearms it would probably be extinct by now.
The pacific yew has been used to build structures such as houses and fences because of it's strength and resistance to rotting. It is also used to make furniture.
The yew tree is very much in demand due to the discovery of Taxol (anticancer agent) in the bark of Taxus brevifolia. The European yew is a source in the production of Taxotere, which is potentially an even better anticancer agent than Taxol. The English yew contains a similar compound to Taxol but is 10 times more concentrated.
One of the main delays in the development of Taxol as an anticancer agent was the difficulty in obtaining sufficient quantities of the compound from it's natural source. Taxol only constitutes 0.01-0.03% of the dry weight of the inner bark of the pacific yew tree. This means that vast amounts of the yew tree are needed to isolate even small amounts of the drug (see below). Hence the drug is not commercially viable at the moment.
|
2000-3000 mature yew trees------> |
9000kg Dried inner bark------> |
1 Kg TAXOL |
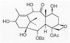
A bio-renewable source of the drug has been found in the form of 10-deacetyl baccatin III (figure 2), which has led to the discovery of Taxotere. The stating material, 10- Deacetyl baccatin III can be isolated in yields approaching 0.3% from Taxus Baccata needles, without hampering tree growth. The tree continues to grow after the leaves have been harvested, hence Taxus baccata provides a renewable source of the precursor. 10-deacetyl baccatin III can be coupled with a synthetic side chain to give Taxol.

Intense research is being carried out to produce a viable total synthesis of Taxol which would alleviate the supply problem. Also derivatives are being synthesised to find analogues which exhibit a better anticancer effect than Taxol.
Biotechnologists have obtained Taxol from cultivated callus cell of Taxus Brevifolia. This area of research hopes to cultivate the Taxol producing cells and speed up their production. On a large scale Taxol could be produced in tanks to supply the huge demand for the drug.
A garden variety of the yew tree, Taxus media Hicksii, has a high Taxol extraction coefficient and is currently being investigated for commercial viability.
Also an accurate evaluation of the Taxol binding site, would tell us the key structures required to bind to tubulin, hence analogues could be synthesised which can be commercially synthesised and have a better anticancer activity.
REFERENCES
http://c267b.chor.ucl.ac.be/taxol.htm
http://www.chembio.uoguelph.ca/galatsis/taxol.htm
http://www.pfc.forestry.ca/www_users/lgalbraith/mosaic/mitchell2/yew2.html